超聲波流量計的測量原理包括哪些方面
點擊次數:6145 發布時間:2021-03-19 07:38:29
1、聲學基礎
19世紀時德國科學家克拉尼通過實驗驗證20kHz是人耳能聽到聲波頻率的上限。而后,人們把超過人聽覺范圍(2OkHz以上)的聲波稱為超聲波。在自然界,動物能識別超聲波的*高頻率是:狗25kHz;鯨魚100kHz;蝙蝠175kHz。
超聲波有2個重要的性能。*一是定向比。因為超聲波頻率很高和波長很短,所以它可以像光波那樣沿直線傳播,而不像頻率較低的聲波要繞物體前進。*二是超聲波能在氣體、液體和固體中傳播。在不同的物質中超聲波的傳播速度各不相同。超聲波在介質中傳播的速度為c。它在不同介質中的傳播速度見表 5.1。

在測量流體時,為了使超聲波在傳播中減少阻尼,通常:
·超聲波對氣體介質測量采用頻率數量級是100kHz;
·超聲波對液體介質測量采用頻率數量級是1MHz;
·超聲波對小口徑管道液體介質測量采用頻率數量級是2MHz。
2、超聲波多普勒測量原理
多普勒超聲波流量計的工作原理類似于用于交通的雷達測速方法。
發射部件以角度a和頻率fl(約IMHz一5MHz)向流動的液體發射超聲波。該超聲波在傳播過程中碰到在超聲波場中以速度vp運動的粒子。頻率為f1的發射波波長是
λ=c/f1
由于粒子以vp速度運動,以運動粒子作為參考系,接收從發射單元發出的超聲波波長為
λp=(c-vp·cosa)/f1
再以接收單元為參考系,得到從粒子上反射的超聲波,它的波長變化為
λ2=(c-2·vp·cosa)/f1
對次得出

由于vp》c,得到的頻率差為

此頻率差與粒子運動的速度vp呈線性關系(見圖5.2)。

多普勒超聲波流量計的優點:
·在已有的管道中安裝簡單;
·無活動部件,無摩擦。
多普勒超聲波流量計的缺點和限制:
·測量方法要求介質必須連續,并含有足夠的反射粒子;
·粒子具有足夠大的尺寸,以便能進行良好反射(λ/4);
·在粒子材料中的超聲波傳播速度應與在被測流體中的傳播速度相差很大;
·在被測流休中超聲波的傳播速度直接包含在測量結果中;
·通常粒子的速度與流體的速度有明顯的偏差(滑差);
·大多數情況下超聲波聲場僅能測反射物質相遇點的速度,這樣顯示值對流速分布有很大的依賴性;
·流體的流速必須遠遠大于粒子產生沉淀的臨界速度;
·為了保持良好的流體流動的性能需要很長的無干擾入口管道(20倍于管道口徑的長度)。
多普勒超聲波流量計的主要應用領域如下:
·醫學應用(血流*檢測)。這里絕對精度不起作用。僅要求良好的動態性能,詳細重復診斷在血管中血液的脈動情況(類似于心電圖)。在無干擾情況下簡單和無需出血地把測量探頭貼放在皮膚上(帶耦合脂肪)。
·礦漿的流量測量(如鐵礦石)。這里天然的礦粒子溶度很高。粒子的超聲波傳播速度與在載體介質內的傳播速度有足夠大的差別。當然,在對未超過臨界的速度進行信號化時,與溶度有關的超聲波滲透深度和流速分布會產生很明顯的測量誤差。
3、超聲波時差測量原理
1)基本原理
在直型管道中由發送器以與流動方向成銳角形式發射穿過流動氣體(如氣體流量計)或液體的超聲波,并用一個接收器接收信號。因為在管道彎曲處流動截面的流速分布不對稱,所以在這種情況下不能應用超聲波測量方法。
用發送器S和接收器E的超聲波流流量原理如圖5.3所示。在靜態液體中,從發送器到接收器超聲波運動的速度為Co通常液體流動的速度為v,此速度以圖5.3的形式分布。在觀察點O處流動速度v在超聲波運動方向上的速度分量是voo在流動液體中與此相應的超聲波速度為
c1=c+va=c+vcosa
如果把發送器和接收器互換,那么速度分量的方向與超聲波運動方向相反。超聲波的速度c2為

c2=c-va=c-vcosa
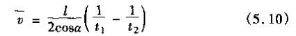
當測量距離ι已知時,原理上由在測量距離ι上的流體平均速度ū來確定測量時間t1。該時間是順流時超聲波運行距離ι所需的時間。但是超聲波速度很明顯與液體的溫度有關。為了補償溫度對測量結果的影響,必須在順流和逆流2個方向上同時發射超聲波,以便同時考慮加以計算。這樣,用超聲波信號前邊緣檢測的時間t1和t2為

由式(5.8)和式(5.9)導出流體的平均流速v為

在測量路徑長度ι傾角a以及管道幾何尺寸不變的前提條件下,能通過測量2個計時時間t1和t2計算測量管道的平均速度和靜態聲速。
兩脈沖運行的時間差為

式中 D--管道的直徑。
時間差與沿測量管道方向的平均流速精確地呈線性關系(超聲波聲道)。但時間差的量值很小,對提高測量的分辨率有一定難度。
時差原理舉例:
管道直徑:100mm
入射角a:45°
被測介質:水
傳播速度c:1480m/s
流速v:lm/s
順流時間t1:95.4949x10-6s
逆流時間t2:95.5862x10-6s
時間差△t:91.29x10-9s
分辨率0.5%,能分辨的*小時間<500x10-12s
2)時間信號的檢測方法
在時間檢測過程中,控制發送的壓電脈沖和處理接收信號的測量變送器必須保證有很高的時間分辨率。檢測方法也經歷了過零點檢測、相關測量分析以及抗干擾能力和測量精度有很大改善的復雜數字信號處理等階段。下面介紹2種檢測方法。
(1)零點檢測方法
絕對計時時間t1和t2的測量可經定時脈沖的計數來完成。按照圖5.4,由發送器發出一個方波信號或矩形波信號;而接收到的信號是*先逐步增幅振蕩而后逐步衰減振蕩的信號。信號接收時選擇一個已知的閾值。信號增大到達該閾值,“預觸發”過零檢測裝置。當檢測器檢測到過零點時,得到計時時間間隔t測量c在增幅振蕩過程中不能直接檢測到t計時時間值,通常通過半波周期N整數倍的值對t測量修正產生t計時時間值。其中N值是信號從一個過零點到另一個過零點的間隔時間。圖5.4中,t計時=t測量-3N。


(2)相關方法
相關流量測量方法的基本條件是選取被測介質的特征標記。超聲彼流*計采用超聲波脈沖信號作為特征標記。流速的測*性能可經過下列方法得到擴展和改善。
在采用超聲波脈沖信號的特征標記進行體積流量測量時,在流動方向上前、后安裝2套傳感器。對傳感器檢測的微粒標記信號進行相關統計實現計時時間側量。通常2個傳感器分別安裝在測量管道的入口端和出口端。如果把*1個傳感器的信號作為測量裝置的輸入信號,而把*2個傳感器的信號作為測量裝置的輸出信號,那么就能根據計時時間得到傳遞過程環節的脈沖響應g(t)。
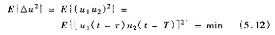
假設傳遞過程環節含有未知的時滯時間T,2個信號就有一個時滯時間T的平移。使用2個被測信號的正交相關計算求出脈沖響應函數和計時時間,再由計時時間和測量裝置的幾何尺寸確定體積流量,如圖5.5所示。


相關測量方法的原理是,在理想情況下測量傳感器檢測到2個形狀相同的信號,它們之間僅是時間相互超前和滯后T的關系。測量方法以*1個傳感器信號人為延遲r為基礎。相關方法的主要任務是調節模型時間r,當:r=T時使經測量裝置延時的信號u2(t)=u1(t-T)與人為延時信號u1(t-r)相等。由于信號帶有隨機噪聲,廣義的表達方式是通過相關器計算使兩個信號的協方差為*小.即

對理想的情況,靜態信號的方差為

和協方差為

當Υ=T時2個信號協相關函數達到*大φu1u1(Υ=T)。協相關處理器以固定的采樣頻率存儲2個信號u1(t)和u2(t)的離散序列幅值。在測量范圍允許的計時時間內得到一階保持信號,并把它作為正交相關系數rxy(Υ)有

然后,尋找模型的計時時間Υmax使協相關系數*大。在測量傳感器已知間距s和時滯時間T=tmax的條件下,計算流速v=s/T。
3)發送器和接收器的原理
超聲波發送器的種類很多.大致可分成機械和電聲2大類。在超聲波流量計通常使用電聲型發送器。
電聲型超聲波發送器把電磁能量轉換成機械波的能量。這種能量轉換是通過電聲換能器來完成的。電聲換能器的作用是將高頻電源的電磁振蕩能量轉換成機械振動能量而發射超聲波。電聲換能器有壓電式和磁滯伸縮式2種。這里主要介紹壓電式換能器。
壓電式換能器是用壓電材料(如石英、磷酸甲欽酸鋇等)制作而成的。當壓電材料受到周期性的壓縮時,就在兩相對面出現周期性電壓。此現象稱為壓電效應。相反,把周期性電壓加在壓電材料上,使壓電材料產生伸縮的機械振動。這種逆壓電效應是壓電式換能器產生超聲波的原理。壓電式換能器能產生高頻超聲波,從幾十千赫到幾十兆赫,*高可達10Hz。它產生的聲強也很大。在發送器表面處每平方厘米可達數十瓦,而且易于聚焦,以便產生更大的聲強。它非常適合于工業應用。
關于超聲波接收傳感器,*常用的就是利用壓電效應的傳感器。這些傳感器在接收超聲波后產生振動,并輸出交變的電信號。該信號經放大和數據處理后可直接使用。
上一篇:蒸汽流量計的基本原理
下一篇:插入式流量計的原理與分類


