氣體超聲波流量計在天然氣計量中的應用
氣體超聲波流量計是二十世紀九十年代后期才成熟起來的一種新型流量計,它具有無可動部件、無阻力件、無壓損、量程比寬、準確度高、全自動化、可測量雙向流、含液流等特點。近幾年在天然氣計量領域得到迅猛發展。氣體超聲波流量計作為一種新型流量計,其真正的計量性能有待于研究證實。
根據檢測的方式,氣體超聲波流量計可分為傳播時間差法、多普勒法、波束偏移法、噪聲法等不同類型的氣體超聲波流量計。其中在氣體超聲波領域用得*多的是傳播時間差法,即時差式氣體超聲波流量計。
1、時差式氣體超聲波流量計的工作原理
時差式氣體超聲波流量計的是利用超聲波在氣體中沿順流傳播的時間和沿逆流傳播的時間差與氣體流速成正比這一原理來測量氣體流量的。工作原理見圖1。

圖1中,氣體超聲波流量計的換能器A和換能器B裝在管道兩側,超聲波的聲程長度為L,超聲波傳播的方向與流體在管道中的流動方向夾角為θ,超聲波在流體中的順流傳播時間為tD,逆流傳播時間為tU。


從式(3)中可以看出,氣體的流速測量與介質的聲速無關,只與長度和時間兩個參數有關。氣體超聲流量計測量原理是長度與時間兩個基本量的結合,其導出量時間和長度的溯源性好,溯源準確度高,超聲波流量計能夠有很高的計量準確度。并能夠以此建立流量基準。
2、氣體超聲波流量計在天然氣流量計量中的應用
天然氣流量計量是一個復雜的多參數測量過程,在研究時要保證測量準確性需要有相應的流量比對裝置。在本實驗研究中,我們將氣體超聲波流量計與一套標準孔板流量計串聯運行,使我們的實驗數據更加有效,更有說服力。我們選用的是美國丹尼爾公司生產的四聲道氣體超聲波流量計,管道內徑是300mm,流量范圍(工作狀態下):240~6405m3/h,其在標準狀況下*大、*小流量見表1。


氣體超聲波流量計在實驗流程示意圖見圖2。標準孔板流量計的計量管徑305mm,孔板內徑130.079mm。

2.1噪聲對氣體超聲波流量計準確度影響
GB/T18604-2001《用氣體超聲波流量計測量天然氣流量》中提到來自被測介質內部的噪聲可能會對氣體超聲波流量計的測量準確度帶來不利的影響。噪聲的來源主要有環境噪聲和氣流經過沒有全開的閥門時節流的噪聲。我們采用氣體超聲波流量計上游閥門1節流控制流量大小時,節流的聲音隨著流量的增大而增大,氣體超聲波流量計與標準孔板流量計的相對誤差也逐步增大,氣體超聲波流量計的流量低于標準孔板流量計流量。當閥門1全開,用閥門2控制流量大小的時候,氣體超聲波流量計的信噪比較大且基本保持不變,氣體超聲波流量計與標準孔板流量計的相對誤差基本保持不變。實驗數據見表2和表3。

從表2和表3中可以看出,當采用上游閥門1節流的時候,氣體超聲波流量計的信噪比明顯低于上游閥門全開的時候。這是因為,當氣體超聲波流量計上游閥門節流時除了能產生我們能聽到的聲音外還能產生人耳無法聽到高頻超聲波,當這種聲波的頻率與氣體超聲波流量計的工作頻率相近時氣體超聲波流量計信噪比降低,從而影響流量計的測量準確度。
2.2流態對氣體超聲波流量計的影響
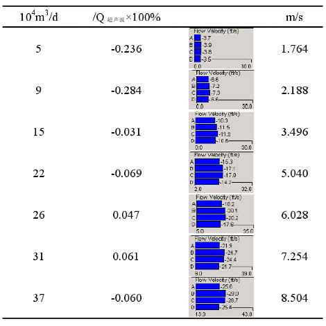
GB/T18604-2001《用氣體超聲波流量計測量天然氣流量》要求氣體超聲波流量計上游直管段*少為10D,下游直管段至少為5D,以保證進入流量計的天然氣流態是對稱的充分發展的紊流速度分布。計量管路中的閥門、空間彎頭等阻流件會對天然氣的速度分布產生影響,從而影響測量的準確度。圖3是氣體超聲波流量計的聲道分布示意圖,沿管道橫截面由上到下平行分布四個聲道。氣體超聲波流量計通過對各個聲道測得的流速進行加權平均得到管道中氣體的平均流速。

表4和表5是氣體超聲波流量計在閥門1節流、閥門1全開測得的氣體流態在管道中的分布情況。



從圖3、表4和表5可以看出,當閥門1節流時,隨著流量的增大,天然氣在管道中的流速分布越來越不均勻,反應在超聲波A、D聲道的流速大于B、C通道的流速。隨著流量的增大管道內氣體的流速由分布逐漸變成分布,即沿管壁的氣體流速由低于管道中心氣體流速變成高于管道中心氣體流速。當上游閥門全開的時候,沒有對氣流產生阻擋,隨著流量的增大,管道內氣體的流速分布變化不大,始終保持分布,符合標準規定的流態。因為當天然氣經過沒有完全開啟的閘閥時,天然氣由于閥門閘板的阻擋產生與管道中心軸不對稱的旋轉氣流,經過發展成為漩渦流。
2.3氣質對氣體超聲波流量計的影響
氣體超聲波流量計對于我們來說是一個全新的流量計,我們以前只是從理論上對其有一定的認識,而對它的實際工作性能并不了解。我們知道氣體超聲波流量計對氣質條件要求不嚴格,可用于工業環境下連續測量不含大濃度懸浮粒子或氣體的大多數清潔均質液體的流量。我們在用氣體超聲波流量計在對含有飽和水蒸汽、霧狀液滴或大量粉塵的天然氣進行測量時應注意氣質可能帶來的影響。
在一次使用過程中,我們發現氣體超聲波流量計的流量和標準孔板流量計的流量相比偏高。使用CUI軟件進行氣體超聲波流量計的診斷時發現D聲道不工作,檢查后發現,D聲道被飽和天然氣中凝析出的液體淹沒了,導致換能器不能工作正常,經排除積存在管道中的液體后氣體超聲波流量計恢復正常工作。多聲道的氣體超聲波流量計能夠在一個聲道故障時根據其它聲道測得的流量進行自動補償運算,這個補償過程使流量計的流量輸出比正常時略有偏高。
天然氣中的粉塵也對氣體超聲波流量計的工作性能有影響。我們在使用氣體超聲波流量計的過程中出現過一次氣體超聲波流量計的換能器由于粉塵堆積而導致氣體超聲波流量計工作不正常的情況。原因是我們的一個上游的氣體處理廠開機不正常,分子篩中的粉塵被帶入氣體超聲波流量計的工作流程中,粉塵在氣體超聲波流量計*底部的換能器和表體的結合處堆積,導致氣體超聲波流量計的工作不正常,影響流量計正常工作。
3、氣體超聲波流量計應用中應注意的問題
氣體超聲波流量計測量天然氣流量的實驗數據表明氣體超聲波流量計的確有很多優點,同時氣體超聲波流量計在使用中應該注意以下這些問題:
3.1正確選型
任何流量計有它自身的測量范圍,氣體超聲波流量計測量范圍很寬,一般說來*小流量和*大流量比為1:30。氣體超聲波流量計主要是利用測量天然氣的流速來測量天然氣的流量。其理想的工作流速范圍為(2.7~27)m/s,在這個工作范圍內,氣體超聲波流量計才能保證其檢定時的準確度。天然氣的流量低于氣體超聲波流量計的流量拐點時,氣體超聲波流量計的準確度將降低,從而出現較大的誤差。天然氣的流速過高時會出現超聲波信號被吹跑,換能器檢測不到超聲波信號的情況,出現計量故障。所以,我們在進行氣體超聲波流量計的選型時應該充分考慮天然氣在管道中的流速,避免出現超低限或超高限運行的情況。
選用氣體超聲波流量計作為計量裝置時還應考慮是否存在聲波干擾源,主要指能產生超聲波信號的各種設備,如高速度、大差壓的減壓設備和消音設備等。消音設備常常是將人們耳朵能夠聽見的聲波轉換成為人耳不能聽到的超聲波。如果消音設備的超聲波頻率或減壓設備的超高頻的噪聲與氣體超聲波流量計的工作頻率接近時將造成超聲波流量計工作不正常,甚至完全不工作,因此,我們選用、安裝氣體超聲波流量計的時候應該避開存在對流量計產生影響的聲波的場合,亦可采取相應措施減小或消除噪聲。
3.2合理的安裝
氣體超聲波流量計上下游直管段應該滿足要求,標準推薦上游直管段*低為10D,下游*低為5D。對于安裝條件受測量現場限制的場合應該加裝流動調整器。常見的幾種流動調整器中,19管束式流動調整器不適用于氣體超聲波流量計,Zanker整流板可適用于氣體超聲波流量計。
氣體超聲波流量計安裝方式應該水平安裝,此外,在天然氣含液較多的場合,氣體超聲波流量計及其計量管段的安裝位置不應低于其上下游管道,使得天然氣中凝析出來的液體能夠隨氣流被帶走,而不在氣體超聲波流量計處堆積,造成計量故障,對于含有大量固體粉塵的天然氣應該在氣體超聲波流量計上游直管段外加裝過濾器,否則氣體超聲波流量計會因為換能器表面沉積物的堆積出現故障。
3.3定期維護
氣體超聲波流量計使用過程中需要的維護很少,但在氣質條件較差的計量場合,應定期清洗氣體超聲波流量計的換能器,檢查有無雜質和水垢等附著換能器表面,氣體超聲波流量計的各連接件是否泄漏,定期檢查線路連接是否正常,定期檢測零流量測量是否準確等。
3.4及時診斷測試
當氣體超聲波流量計突然出現流量突變時,我們可以利用與氣體超聲波流量計串聯運行的其他流量計進行比對校核方法,弄清楚是由于儀表故障還是由于天然氣流量的確發生了變化。如沒有其他流量計作比對,我們可以用氣體超聲波流量計的診斷軟件檢查氣體超聲波流量計的各個換能器的工作參數,看是否有異常參數值。在超聲波流量計使用數量多的場合應該考慮購買便攜的外夾式超聲波流量計,以便**可以對固定安裝的超聲波流量計進行校核。
在作者趙毅看來,氣體超聲波流量計作為新型的計量性能優異的儀表,使用越來越廣泛,而且技術更新很快,只有充分掌握氣體超聲波流量計的工作原理和性能,才能更好地了解它,使用它,讓它更好地服務于我們天然氣計量。
上一篇:氣體超聲波流量計安裝要求


