差壓式流量計測量原理與流動情況
點擊次數:5396 發布時間:2020-04-25 02:44:38
如果在充滿流體的管道中固定放置一個流通面積小于管道截面積的節流件,則管內流束在通過該節流件時就會造成局部收縮。在收縮處,流速增加,靜壓力降低,因此,在節流件前后將產生一定的壓力差。實踐證明,對于一定形狀和尺寸的節流件,一定的測壓位置和前后直管段,在一定的流體參數情況下,節流件前后的差壓△p與流量qv之間有一定的函數關系。因此,可以通過測量節流件前后的差壓來測量流量。
*為常見的節流件有標準孔板、標準噴嘴、文丘里管和文丘里噴嘴等幾種形式,如圖3-2所示。


如圖3-3a所示,硫酸流量計流體通過孔板前就已經開始收縮,由于慣性的作用,流束通過孔板后還將繼續收縮,直到在孔板后的某一距離處達到*小流束截面。這時流體的平均流速達到*大值。然后流束又逐漸擴大到充滿整個圓管,流體的速度也恢復到孔板前來流的速度。靠近孔板前后的角落處,由于流體的粘性和局部阻力以及靜壓差回流等的影響將造成渦流。這時沿管壁流體的靜壓變化和軸線上不同,圖3-3b中實線表示管壁上的靜壓沿軸線方向的變化曲線。在孔板前,由于孔板對流體的阻力,造成部分流體局部滯止,使得管道壁面上的靜壓比上游壓力稍有升高。通過孔板后,流體壓力突然降低并隨著流束的縮小,流速的提高而減小,一直達到某一*低值。然后又隨流束的擴張而升高,*后恢復到一個稍低于原管中壓力的壓力,這就是節流件造成的不可恢復壓力損失。管道軸線上流體壓力沿軸線方向的分布如圖3-3b中虛線所示。


節流裝置中造成流體壓力損失的原因是孔板前后渦流的形成以及流體的沿程摩擦,它使得流體具有的總機械能的一部分不可逆地變成了熱能,散失在流體內。為了減小這部分損失,人們采用了噴嘴、文丘里管等節流件,以盡量消除節流件前后的渦流區,大大減少了流動的壓力損失。還有一些低壓損的節流件,可以節約儀表運行的能量消耗。
2、節流裝置的流量公式
節流裝置的流量公式是在假定所研究的流體是理想流體,流動是一維等滴定常流動的條件下,根據伯努利方程和連續性方程推導出來的。然后對不符合假設條件的影響因素進行修正。
在圖3-3a中取兩個截面I和II,截面I是流束收縮前的截面,截面II為流束*小截面。根據不可壓縮理想流體的伯努利方程

和連續性方程

可以推得

式中,P1、P2是截圖I和II的靜壓力(Pa);u1、u2是截面I和II處的平均流速(m/s);P1、P2是截面I和II處的流體密度(kg/m³);u是流束收縮系數(A2=uAo),它的大小與節流件的形式及流動狀態有關;

稱為節流裝置的直徑比。d為節流件的開孔直徑,D為管道內徑。
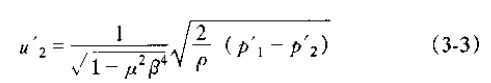
由于壓力P1和P2是截面I和截面II處流體的平均壓力,而實際測量時,差壓P1-P2是按一定的取壓方式在管壁處取得的,與差壓P1、P2有一定差異。引進取壓系數Ψ,使P1-P2-Ψ(p1 p2),取壓方式不同,Ψ也不同。另外,實際的流動都存在損失,與假定的理想流體等熵定常流也有差異,為此,引進系數Σ對u2進行修正。這樣,修正后的不可壓縮流體的體積流量表達式為

式中,a是流量系數,它是一個與節流件形式、直徑比、取壓方式、流動雷諾數及管壁粗糙度等有關的系數,是節流裝置中*為重要的一個系數。由于流束收縮系數u,修正系數Σ及Ψ無法測量,所以,通常流量系數a由實驗確定。
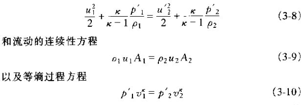
對于可壓縮流體,流體密度的變化是不可忽視的。根據可壓縮流體的伯努利方程

式中,k是氣體的等熵指數,v1、v2是截面I和II處流體比體積(m³/kg)。并考慮到和推導不可壓縮流體的流量公式時一樣的原因,對于實際流體和實際的取壓位置,引入修正系數Σ,取壓系數Ψ和可壓縮流體的流束收縮系數uk后,將可壓縮流體的流量公式整理成與不可壓縮流體的流量公式(3-6)或(3-7)有類似的形式,

式中,a就是不可壓縮流體的流量系數,即式(3-5)所確定的值,Σ稱為可壓縮流體的可膨脹性系數,它由下式確定

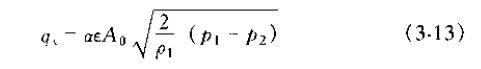
由式(3-11)可得可壓縮流體的體積流量公式為

由于不可壓縮流體的可膨脹性系數Σ-1,所以可以認為可壓縮流體的流量公式(3-11)和式(3-13)是節流式流量計流量公式的普遍形式。
如果用節流件開孔直徑d來表示式中的Ao,即Ao=πd2/4,并用信號差壓△p來表示p1-p2,流出系數C來代替流量系數a,則節流式流量計的流量公式普遍形式可寫成

式中,K為一常數項,由公式中各量的計算單位確定K值的大小。顯然,在S1主單位中,K=2π/4=1.11072.如果按照工程上的習慣,孔徑d的單位用mm,流量qv或qm的單位用m³/h或kg/h,則K=2π/4×3600×10-6=0.0039986,一般取K=0.004.
流出系數C與流量系數a的關系為

利用流出系數C來分析各種因素對流量的影響顯得更加方便,在不同的β和不同的Re下,C的變化范圍要比a的變化范圍小得多。尤其是對各種文丘里管,在一定條件下,C是一個不隨管徑D、直徑比β和雷諾數Re變化的常數,使得流量公式接近一個完全解析式,簡化節流裝置的計算。在新的**標準中,節流裝置的計算均采用流出系數。
上一篇:流量計按測量方法和結構分類
下一篇:差壓式流量計標準節流件裝置