電磁流量計的勵磁方式有哪些
點擊次數:6293 發布時間:2021-03-19 08:49:14
直流勵磁技術
直流勵磁技術是*初的電磁流量計采用的勵磁技術,它是利用永磁體或者直流電源給電磁流量傳感器勵磁繞組供電,以形成恒定的直流磁場,磁場波形如圖7-3a所示。直流勵磁技術具有方法簡單可靠,受工頻干擾影響很小以及流體中的自感現象可以忽略不計等特點。但是,直流勵磁技術的*大問題是直流感應電勢在兩電極表面上形成固定的正負極性,引起被測流體介質點解而產生正負離子,導致電極表面極化現象,使感生的流量信號電勢減弱,電極間等效電阻增大,同時出現電極極化電勢漂移,嚴重影響信號處理部分的工作。即使電極采用極化電勢很小的鉑、金等貴重金屬或其合金材料,常常也存在微弱的極化電勢,同時儀表的制造成本也較高。另外,直流勵磁在電極間產生不均衡的電化學干擾電勢疊加在直流流量信號中,無法消除,并隨著時間的變化、流體介質特性以及流動狀態而變化。*三,直流放大器的零點漂移、噪聲和穩定性問題難以獲得很好解決,特別是在小流量測量時,信號放大器的直流穩定度必須在幾分之一微伏之內,這樣就限制了直流勵磁技術的應用范圍。目前直流勵磁技術僅在原子能工業中用于電導率極高,而又不產生極化效應的液態金屬流量測量中。
工頻正弦波勵磁技術
工頻正弦波勵磁技術是利用正弦波工頻(50Hz)電源給電磁流量傳感器勵磁繞組供電,其主要特點是產生的磁場為一正弦波交變磁場,如圖7-3b所示。這種勵磁方式能夠基本上消除電極表面的極化現象,降低電極電化學電勢的影響和傳感器內阻。另外,采用工頻正弦波勵磁技術,其傳感器輸出的流量信號仍然是工頻正弦波信號,易于放大處理,能避免直流放大器存在的實際困難。而且勵磁電源簡單方便。
在工頻正弦波勵磁方式中,交流磁場的磁感應強度B=Bmsinωt在電極上產生的感生電動勢為

被測體積流量為

式中 Bm是交變磁感應強度的*大值;w是勵磁電流角頻率,w=2πf;f是勵磁電源頻率。
值得注意的是,工頻正弦波勵磁技術的采用會帶來一系列電磁干擾和噪聲。
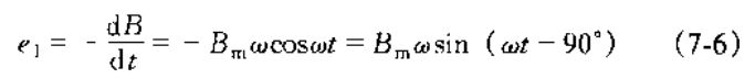
*先是電磁感應產生正交干擾(又稱90°干擾),一般認為正交干擾是由“變壓器效應”造成的。在電磁流量傳感器中,由于電極、引線、被測介質和電磁流量轉換器的輸入電路構成的閉合回路處在一交變的磁場中,所以,即使被測介質不流動,處于該交變磁場中的閉合回路也會產生電勢ρ1和感生電流,顯然,這是一干擾電勢。根據電磁感應原理,該干擾電動勢與磁場對時間的變化率的負值正正比。即

這就是正交干擾信號電勢,它具有以下幾個特點。
1)與流量無關,即使流體靜止不動,這樣的信號依然存在;
2)在相位上比流量信號滯后90°,故也稱90°干擾;
3)勵磁電流頻率越高,正交干擾也越嚴重,實際應用中,正交干擾信號可以遠大于流量信號。
所以如何克服正交干擾電勢的影響是工頻正弦波勵磁技術的主要課題。
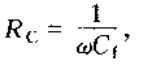
其次是同相干擾,是指同時出現在傳感器兩個電極上,頻率和相位都和流量信號一致的干擾信號。一般認為是靜電感應,絕緣電阻分壓以及傳感器管道上的雜散電流所引起。如圖7-4所示,傳感器的勵磁線圈對電極A和B不僅存在著絕緣電阻Rm,同時還存在著分布電容Cf。設兩電極之間的內阻為Rs,則勵磁電壓U通過絕緣電阻和分布電容與傳感器內阻分壓,在兩電極上同時產生壓降。


設勵磁電壓為U=Umsinωt,則在Cf上產生的容抗為

Rc和Rm并聯,如果Rm》Rc,則得總阻抗R約為Rc。這樣,R和內阻Rs/2對勵磁電壓U進行分壓,在電極上將得到由分布電容Cf串進的干擾電壓e2為

由于同相干擾信號的頻率和相位與流量信號完全一致,疊加在流量信號中難以消除,以至電磁流量計零點不穩定。
*三是工頻正弦波供電電源存在電源電壓和頻率的波動,由式(7-5)可知,電壓和頻率分布影響Bm和ω,從而造成對測量的影響。
實際應用中,雖然已采取相敏整流、嚴格的電磁屏蔽和線路補償、電源補償、自動正交抑制系統等技術措施以消除與流量信號頻率一致的工頻干擾電壓,但由于正交干擾信號電勢往往有較大幅值,自動正交抑制系統等抗干擾措施不可能完全消除干擾信號,從而導致電磁流量計零點的不穩定,測量精度難以提高。這就是工頻正弦波勵磁方式對電磁流量計的限制,使得電磁流量計的性能很難進一步提高。
低頻矩形波勵磁技術
低頻矩形波勵磁技術是結合了直流勵磁和交流勵磁技術的優點,同時避免了它們缺點的一種勵磁技術。20世紀70年代以來,隨著集成電流技術和同步采樣技術的發展和實用化,低頻矩形波勵磁技術應運而生,在電磁流量計中得到廣泛實用。它的勵磁磁場波形如圖7-3c和d所示,其頻率通常為工頻的偶數分之一(一般為1/2-1/32)。70年代前期以單極性低頻矩形波勵磁技術為主,后期以雙極性低頻矩形波勵磁技術為主而開始其工業應用。
從圖7-3中可以看到,在半個周期內,磁場是一恒穩的直流磁場,它具有直流勵磁技術受電磁干擾影響小,不產生渦輪效應、正交干擾和同相干擾小等特點;從整個時間過程看,矩形波信號又是一個交變信號,具有正弦波勵磁技術基本不產生極化現象,便于放大和處理信號,避免直流放大器零點漂移、噪聲、穩定性等問題的優點。所以低頻矩形波勵磁技術具有良好的抗干擾性能,在電磁流量計中已得到廣泛應用。
低頻矩形波勵磁中,由于勵磁電流矩形波存在上升沿和下降沿,根據式7-6,在上升沿和下降沿處,必然也存在正交干擾(微分干擾)。其沿越陡,微分干擾電勢越大,但很快就會消失,形成一很窄的尖峰脈沖;上升沿和下降沿變化越緩慢,則微分干擾越小,但經歷時間越長。
如何消除上升沿和下降沿處的微分干擾,是低頻矩形波勵磁技術要解決的主要問題之一。由于一般電磁流量傳感器勵磁繞組中電感和電阻的比值L/R往往較小。隨著勵磁電流進入穩態,微分干擾也很快能自動消失。所以,為了排除微分干擾對流量信號的影響,通常在勵磁電流進入穩態的恒定階段(即矩形波的平頂部分)后,再對流量信號電壓進行同步采樣,如圖7-5所示。

這樣,微分干擾信號不能進入同步采樣,因此也不影響流量信號輸出。此外,同步采樣脈沖相對工頻來說是一寬脈沖,并選擇為工頻周期或工頻周期的整數倍,如圖7-5e所示,這樣,即使流量信號中混有工頻干擾信號,因其采樣時間為完整的工頻周期,其平均值為零,工頻干擾電壓不起作用。另一方面,由于勵磁頻率低,渦電流很小,靜電耦合分布電容的影響小,所以,由于靜電感應而產生的同相干擾也大大減小。綜上所示,低頻矩形波勵磁方式有以下幾個優點。

這樣,微分干擾信號不能進入同步采樣,因此也不影響流量信號輸出。此外,同步采樣脈沖相對工頻來說是一寬脈沖,并選擇為工頻周期或工頻周期的整數倍,如圖7-5e所示,這樣,即使流量信號中混有工頻干擾信號,因其采樣時間為完整的工頻周期,其平均值為零,工頻干擾電壓不起作用。另一方面,由于勵磁頻率低,渦電流很小,靜電耦合分布電容的影響小,所以,由于靜電感應而產生的同相干擾也大大減小。綜上所示,低頻矩形波勵磁方式有以下幾個優點。
1)能避免正弦波交流磁場的正交干擾;
2)基本消除由分布電容引起的工頻干擾;
3)能抑制交流磁場在管壁和流體內引起的渦電流;
4)能消除直流磁場的極化現象。
低頻矩形波勵磁技術的采用,解決了長期困擾電磁流量計的電磁干擾問題,大大提高了電磁流量計的零點穩定性和測量精度,縮小傳感器的體積,降低勵磁功率,使轉換器和傳感器一體化,提高電磁流量計的整體性能,拓寬了電磁流量計的工業應用領域。
勵磁技術的新發展
1、三值低頻矩形波勵磁技術
三值低頻矩形波勵磁技術是人們在總結低頻矩形波勵磁技術的基礎上,為了使儀表零點更穩定而提出的一種勵磁技術,磁場波形如圖7-3e所示。其*大的特點是實現在零態時動態校正零點,因而具有更優良的零點穩定性。
三值低頻矩形波勵磁方式的勵磁電流一般采用工頻的1/8頻率,以+B,0,-B三值進行勵磁,通過對正一零一負一零一正變化規律的三種狀態進行采樣和處理,如圖7-6所示。

其*要的特點是能在零態時動態校正零點,有效地消除了流量信號的零位噪聲,從而大大提高了儀表零位的穩定性;其次,它與低頻矩形波勵磁技術一樣,可以采用同步采樣技術來消除上升沿和下降沿處的微分干擾;采用寬脈沖采樣以消除混在流量信號中的工頻干擾信號;*三,它可以通過一個周期內的四次采樣值,近似認為極化電勢恒定,利用微處理機的數值運算功能得以消除極化電勢的影響。

其*要的特點是能在零態時動態校正零點,有效地消除了流量信號的零位噪聲,從而大大提高了儀表零位的穩定性;其次,它與低頻矩形波勵磁技術一樣,可以采用同步采樣技術來消除上升沿和下降沿處的微分干擾;采用寬脈沖采樣以消除混在流量信號中的工頻干擾信號;*三,它可以通過一個周期內的四次采樣值,近似認為極化電勢恒定,利用微處理機的數值運算功能得以消除極化電勢的影響。
所以,采用三值低頻矩形波勵磁技術的電磁流量計零點穩定,抗工頻能力強,測量精度進一步提高,傳感器單位流速的流量信號電壓可降低到工頻勵磁方式時的1/4,從而可進一步降低勵磁功耗,實現電磁流量計的小型輕量一體化,在電磁流量計中已得到廣泛應用。
2、雙頻矩形波勵磁技術
三值低頻矩形波勵磁方式具有優良的零點穩定性,但在測量泥漿(如泥漿流量計)、紙漿等含纖維和固體顆粒的流體介質和低電導率流體流量時,出現固體顆粒擦過電極表面而產生低頻尖峰噪聲和流體流動噪聲,這樣往往導致勵磁頻率較低的三值勵磁電流流量計輸出擺動不穩。
三值低頻矩形波勵磁零點穩定,但無法抑制低頻噪聲;較高頻率的矩形波磁場能消除低頻噪聲,但一般其零點穩定性欠佳。人們在分析各種勵磁技術的基礎上,提出了雙頻矩形波勵磁技術,其磁場波形如圖7-3f所示。高頻部分是75Hz的矩形波,外包絡線是1/8工頻的低頻矩形波。采用這種勵磁方式,可用高頻波采樣來消除含纖維和固體顆粒流體介質的低頻噪聲,同時又保持了低頻矩形波勵磁零點穩定的優點,取得了很好的應用效果。
上一篇:差壓式流量計取壓方式和取壓裝置
下一篇:電磁流量傳感器的主要構成和分類



